Welcome Guest, you are in: Login

MUST Creative Engineering Laboratory

RSS RSS

Navigation



Technical Doc



Search the wiki
»

MUST Corp.

MUST Corp.

www.must.or.kr

 Microsoft CERTIFIED Partner Software Development, Web Development, Data Platform

 Microsoft Small Business Specialist

MCSD

Microsoft Certified IT Professional

Microsoft Certified Professional Developer

Fuzzy set approaches

RSS
Modified on 2010/06/12 14:44 by Administrator Categorized as Data Mining, Digital Image Processing

Fuzzy set approaches

Image
  • Fuzzy logic uses truth values between 0.0 and 1.0 to represent the degree of membership (such as using fuzzy membership graph)
  • Attribute values are converted to fuzzy values
    - e.g., income is mapped into the discrete categories {low, medium, high} with fuzzy values calculated
  • For a given new sample, more than one fuzzy value may apply
  • Each applicable rule contributes a vote for membership in the categories
  • Typically, the truth values for each predicted category are summed

Introduce

  • 컴퓨터를 인간에 가깝게 하는 일의 어려움
    - 퍼지 이론: 애매함을 처리하는 수리 이론

  • Fuzzy logic
    “X”가 “A”라는 집합 A(X)에 속하는 정도를 0과 1 사이의 숫자로 표현 예) μA(X)=0.7

  • Crisp logic
    - 전체 집합 X를 두 개의 Group, 즉 부분집합 A⊆X에 속하고 있는 요소와 속하고 있지 않는 요소에 이분하는 특성함수(characteristics function)에 의해 정의된다

Image

Principles of Fuzzy Set Theory

정의 1. 소속함수

전체 집합 Z의 부분집합 A에 대한 소속함수 μA(z)는 X로부터 폐구간 [ 0, 1 ]의 한 사상(Mapping)

μA : Z → [ 0, 1 ]

으로서, z가 A에 소속된 정도가 0 ≤μA(z) ≤1 값을 나타낸다. 이 때, z가 A에 완전히 소속된 경우 μA(z) = 1 (full membership)로 하고, 소속되지 않은 경우 μA(z) = 0 (no membership)으로 하며, z가 A에 소속된 정도가 부분적일 때 0 < μA(z) < 1 (Partial membership) 값을 갖도록 나타낸다.

정의 2. 퍼지집합

Z가 속한 임의의 원소 각각에 대해 어떤 특정한 성질을 갖는 정도를 나타내는 소속함수 μA(z), 즉 μA : Z → [0, 1]가 정의된다고 하자. 이 경우, 순서쌍의 집합 A = {(z, μA(x))|z∈ Z } 를 소속함수 μA(z)를 갖는 fuzzy set 이라고 한다.

Image

Operation

  • Empty : Membership function is identically zero in Z
  • Equality: Two fuzzy set A, B are equal (μA(z) = μB(z) for al z ∈ Z )
  • Subset : A fuzzy set A is subset of a fuzzy set B (μA(z) ≤ μB(z))
  • Complement, Union, Intersection

Image

Image Image Image Image Image Image

Using Fuzzy Sets

  • R1 : IF the color is green THEN the fruit is Verdant OR
  • R2 : IF the color is yellow THEN the fruit is half-mature OR
  • R3 : IF the color is red THEN the fruit is mature

Image

Image

Image

  • General result involving two membership functions.
    - μ3(z,v) = min{μred(z), μmat(v)}

  • Fuzzy output due to rule R3 and specific input
    - Q3(v) = min{μred(z0), μ3(z0,v)}
    - Q2(v) = min{μyellow(z0), μ2(z0,v)}
    - Q1(v) = min{μgreen(z0), μ1(z0,v)}

Image

  • 집계 퍼지 출력 집계
    - Q = Q1 OR Q2 OR Q3
    - Q(v) = maxr{minss(z0),μr(z0,v)}}
    r = {1,2,3} , s={green, yellow, red}

  • Defuzzification
    - Obtain a crisp output v0 , from fuzzy set Q
    - Way to defuzzify Q to obtain a crisp output is “center of gravity”
    Q(1),Q(2)……Q(K)

Image

Image Image Image

  • Rule-based fuzzy logic step
    - Fuzzify the inputs
    - Perform any required fuzzy logical operations
    - Apply an implication method
    - Apply an aggregation method
    - Defuzzify the final output fuzzy set

  • Rule’s Short hand notation (variable, fuzzy set)
    - Ex) IF the color is green THEN the fruit is verdant
    → IF(z, green) THEN (v, verdant)
    ㆍ v , z color and degree of maturity
    ㆍ Green , verdant is fuzzy set (defined by membership function μgreen(z), μverd(v)
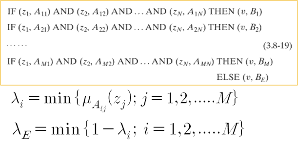
    - M IF-THEN rules, N input variables, one output variable v

Image

Using Fuzzy Sets for Intensity Transformations

  • Singletons
    - membership functions are constant
    - Significantly reduces computational requirement

Image

Image

(a)Low-contrast image (b) Result of using fuzzy, rule-based contrast enhancement

MUST Creative Engineering Laboratory

ImageImage Image Image

Image Image Image Image Image Image Image

Copyright © 2010 MUST Corp. All rights reserved. must@must.or.kr
This Program is released under the GNU General Public License v2. View the GNU General Public License v2 or visit the GNU website.