Fuzzy set approaches
- Fuzzy logic uses truth values between 0.0 and 1.0 to represent the degree of membership (such as using fuzzy membership graph)
- Attribute values are converted to fuzzy values
- e.g., income is mapped into the discrete categories {low, medium, high} with fuzzy values calculated - For a given new sample, more than one fuzzy value may apply
- Each applicable rule contributes a vote for membership in the categories
- Typically, the truth values for each predicted category are summed
Introduce
- 컴퓨터를 인간에 가깝게 하는 일의 어려움
- 퍼지 이론: 애매함을 처리하는 수리 이론
- Fuzzy logic
“X”가 “A”라는 집합 A(X)에 속하는 정도를 0과 1 사이의 숫자로 표현 예) μA(X)=0.7
- Crisp logic
- 전체 집합 X를 두 개의 Group, 즉 부분집합 A⊆X에 속하고 있는 요소와 속하고 있지 않는 요소에 이분하는 특성함수(characteristics function)에 의해 정의된다

Principles of Fuzzy Set Theory
정의 1. 소속함수전체 집합 Z의 부분집합 A에 대한 소속함수 μ
A(z)는 X로부터 폐구간 [ 0, 1 ]의 한 사상(Mapping)
μ
A : Z → [ 0, 1 ]
으로서, z가 A에 소속된 정도가 0 ≤μA(z) ≤1 값을 나타낸다. 이 때, z가 A에 완전히 소속된 경우 μA(z) = 1 (full membership)로 하고, 소속되지 않은 경우 μ
A(z) = 0 (no membership)으로 하며, z가 A에 소속된 정도가 부분적일 때 0 < μ
A(z) < 1 (Partial membership) 값을 갖도록 나타낸다.
정의 2. 퍼지집합Z가 속한 임의의 원소 각각에 대해 어떤 특정한 성질을 갖는 정도를 나타내는 소속함수 μ
A(z), 즉 μ
A : Z → [0, 1]가 정의된다고 하자. 이 경우, 순서쌍의 집합
A = {(z, μ
A(x))|z∈ Z }를 소속함수 μ
A(z)를 갖는 fuzzy set 이라고 한다.
Operation- Empty : Membership function is identically zero in Z
- Equality: Two fuzzy set A, B are equal (μA(z) = μB(z) for al z ∈ Z )
- Subset : A fuzzy set A is subset of a fuzzy set B (μA(z) ≤ μB(z))
- Complement, Union, Intersection


Using Fuzzy Sets
- R1 : IF the color is green THEN the fruit is Verdant OR
- R2 : IF the color is yellow THEN the fruit is half-mature OR
- R3 : IF the color is red THEN the fruit is mature



- General result involving two membership functions.
- μ3(z,v) = min{μred(z), μmat(v)}
- Fuzzy output due to rule R3 and specific input
- Q3(v) = min{μred(z0), μ3(z0,v)}
- Q2(v) = min{μyellow(z0), μ2(z0,v)}
- Q1(v) = min{μgreen(z0), μ1(z0,v)}

- 집계 퍼지 출력 집계
- Q = Q1 OR Q2 OR Q3
- Q(v) = maxr{mins{μs(z0),μr(z0,v)}}
r = {1,2,3} , s={green, yellow, red}
- Defuzzification
- Obtain a crisp output v0 , from fuzzy set Q
- Way to defuzzify Q to obtain a crisp output is “center of gravity”
Q(1),Q(2)……Q(K)


- Rule-based fuzzy logic step
- Fuzzify the inputs
- Perform any required fuzzy logical operations
- Apply an implication method
- Apply an aggregation method
- Defuzzify the final output fuzzy set
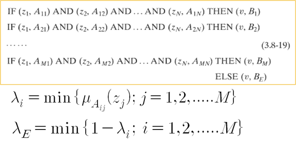
- Rule’s Short hand notation (variable, fuzzy set)
- Ex) IF the color is green THEN the fruit is verdant
→ IF(z, green) THEN (v, verdant)
ㆍ v , z color and degree of maturity
ㆍ Green , verdant is fuzzy set (defined by membership function μgreen(z), μverd(v)
- M IF-THEN rules, N input variables, one output variable v

Using Fuzzy Sets for Intensity Transformations
- Singletons
- membership functions are constant
- Significantly reduces computational requirement


(a)Low-contrast image (b) Result of using fuzzy, rule-based contrast enhancement