Welcome
Guest
, you are in:
<root>
•
Login
MUST Creative Engineering Laboratory
Navigation
Main Page
All Pages
Categories
Random Page
Navigation Paths
Technical Doc
바로씨(BaorSee)
고고피알
Inply
MWSF
MWSM
MWTC
MWMC
MWPC
mQR
mMap
mGPIN
mSiren
mNotice
μSearch
MUST Ucc
Create a new Page
File Management
Administration
Create Account
Search the wiki
»
MUST Corp.
www.must.or.kr
Discuss (0)
History
Fourier transform
Print
RSS
Modified on 2010/05/04 17:00
by
Administrator
Categorized as
Digital Image Processing
(10)
»
Html.Mmenu
»
Bulletin board user tag
»
Fourier transform
[X]
»
hasLayout
»
(관리자) 신규 웹사이트 만들기
»
Augmented Reality
»
고고페이지 홍보현황 확인 하기
»
Fuzzy set approaches
»
What is mNotice?
»
CSS valid method
»
Html.Mmenu
»
Bulletin board user tag
»
Fourier transform
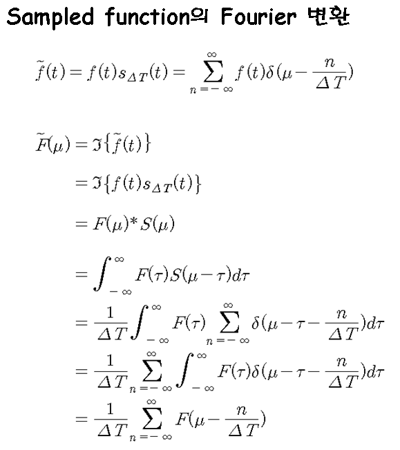
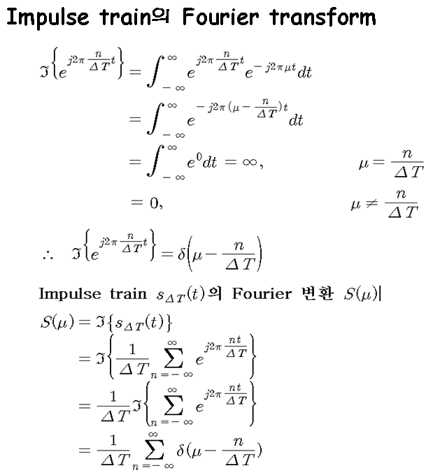
In mathematics, the Fourier transform (often abbreviated FT) is an operation that transforms one complex-valued function of a real variable into another. In such applications as signal processing, the domain of the original function is typically time and is accordingly called the time domain. That of the new function is frequency, and so the Fourier transform is often called the frequency domain representation of the original function. It describes which frequencies are present in the original function. This is in a similar spirit to the way that a chord of music can be described by notes that are being played. In effect, the Fourier transform decomposes a function into oscillatoryfunctions. The term Fourier transform refers both to the frequency domain representation of a function and to the process or formula that "transforms" one function into the other.
The Fourier transform and its generalizations are the subject of Fourier analysis. In this specific case, both the time and frequency domains are unbounded linear continua. It is possible to define the Fourier transform of a function of several variables, which is important for instance in the physical study of wave motion and optics. It is also possible to generalize the Fourier transform on discrete structures such as finite groups, efficient computation of which through a fast Fourier transform is essential for high-speed computing.
MUST Creative Engineering Laboratory
Copyright © 2010 MUST Corp. All rights reserved.
must@must.or.kr
This Program is released under the GNU General Public License v2.
View the GNU General Public License v2
or visit the
GNU
website.