Welcome
Guest
, you are in:
<root>
•
Login
MUST Creative Engineering Laboratory
Navigation
Main Page
All Pages
Categories
Random Page
Navigation Paths
Technical Doc
바로씨(BaorSee)
고고피알
Inply
MWSF
MWSM
MWTC
MWMC
MWPC
mQR
mMap
mGPIN
mSiren
mNotice
μSearch
MUST Ucc
Create a new Page
File Management
Administration
Create Account
Search the wiki
»
MUST Corp.
www.must.or.kr
Discuss (0)
History
Wavelet Coding
Print
RSS
Modified on 2010/11/14 18:24
by
Administrator
Categorized as
Digital Image Processing
(9)
»
스티커 만들기
»
GPinProxy Module
»
Wavelet Coding
[X]
»
MWSF v3.0 Board create and default.aspx
»
Menu Control
»
Open API
»
Decision Tree
»
What is MWSM?
»
Whitespace Removal Module
»
스티커 만들기
»
GPinProxy Module
»
Wavelet Coding
Important Factor
Wavelet selection
A wavelet coding system : encoder, decoder
Three-scale wavelet transforms.
(a) Haar wavelets (b) Daubechies wavelets, (c) symlets (d) Cohen-Daubechies Feauveau biorthogonal wavelets.
Wavelet transform filter taps and zeroed coefficients when truncation the transform in Image below 1.5
Decomposition level Selection
Decomposition level impact on wavelet coding the 512*512 image
Quantizer Design
The impact of dead zone interval selection on wavelet coding.
JPEG-2000
JPEG
DCT기반
압축률은 높음
고주파 정보 유실
블록현상 발생
JPEG-2000
Wavelet 기반
블록현상 방지
RGB, CMYK, CIE등 256채널의 컬러표현
다양한 정보 파일 삽입 가능
JPEG-2000 fundamental building blocks
Pre-processiong
Compression- DWT
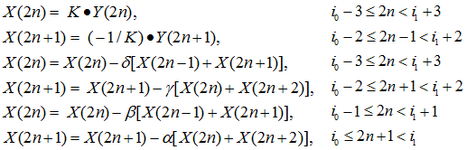
Impulse responses of the low- and highpass analysis filters for an irreversible 9-7 wavelet transform.
"lifting" and "scaling" operations.
Quantization
JPEG2000 two-scale wavelet transform tile-component coefficient notation and analysis gain
Encoding
무손실압축의 경우 양자화 과정을 거치지 않은 데이터가 엔트로피코딩되고, 손실압축일 경우 양자화 과정을 거친 데이터가 엔트로피 코딩 된다.
데이터가 코딩과정에 들어오기 전에 데이터는 부호가 있는 정수이다.
이 부호가 있는 정수는 엔트로피 코딩과정을 거치기전 부호-크기 표현으로(sign-maganitude representation) 바뀐후 엔트로피 과정을 거치게 된다. DC level shift
엔트로피 코딩 과정을 거치기 위해 각각의 subband들은 더 작은 블록(code-block)으로 나누어지게되며 code-block별로 엔트로피 코딩과정을 거치게된다.
Code-block은 bit-plane coding과정 을 거쳐 압축된다. Jpeg-2000 은 비트플레인코딩을 위해 EBCOT binary arithmetic coding (Embedded block coding with optimized truncation) 알고리즘을 채택. Code-block은 bit-plane들로 분해되고 각각의 비트 플레이는 EBCOT를 거쳐 콘텍스트(context)와 이진 결정값(binary decision value)을 얻는다. 컨텍스트들과 이진 결정 값들은 변종 이진 산술 코딩이 입력이 되어 압축된 코드를 얻는다.
Decoding
Inverse quantization
Inverse transform
lifting-based operations
The inverse irreversible componet transform
Compression images
C=25,52,75,105
MUST Creative Engineering Laboratory
Copyright © 2010 MUST Corp. All rights reserved.
must@must.or.kr
This Program is released under the GNU General Public License v2.
View the GNU General Public License v2
or visit the
GNU
website.