Welcome Guest, you are in: Login

MUST Creative Engineering Laboratory

RSS RSS

Navigation



Technical Doc



Search the wiki
»

MUST Corp.

MUST Corp.

www.must.or.kr

 Microsoft CERTIFIED Partner Software Development, Web Development, Data Platform

 Microsoft Small Business Specialist

MCSD

Microsoft Certified IT Professional

Microsoft Certified Professional Developer

Important Factor

Wavelet selection

Image

  • A wavelet coding system : encoder, decoder

Image

  • Three-scale wavelet transforms.
  • (a) Haar wavelets (b) Daubechies wavelets, (c) symlets (d) Cohen-Daubechies Feauveau biorthogonal wavelets.

Image

  • Wavelet transform filter taps and zeroed coefficients when truncation the transform in Image below 1.5



Decomposition level Selection

Image

  • Decomposition level impact on wavelet coding the 512*512 image

Quantizer Design

Image

  • The impact of dead zone interval selection on wavelet coding.

JPEG-2000

JPEG
  • DCT기반
  • 압축률은 높음
  • 고주파 정보 유실
  • 블록현상 발생

JPEG-2000
  • Wavelet 기반
  • 블록현상 방지
  • RGB, CMYK, CIE등 256채널의 컬러표현
  • 다양한 정보 파일 삽입 가능

JPEG-2000 fundamental building blocks

Image

Pre-processiong

Image

Compression- DWT

Image

  • Impulse responses of the low- and highpass analysis filters for an irreversible 9-7 wavelet transform.



"lifting" and "scaling" operations.

Image

Quantization

Image

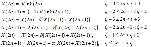
  • JPEG2000 two-scale wavelet transform tile-component coefficient notation and analysis gain

Image

Image

Image

Encoding

  • 무손실압축의 경우 양자화 과정을 거치지 않은 데이터가 엔트로피코딩되고, 손실압축일 경우 양자화 과정을 거친 데이터가 엔트로피 코딩 된다.
  • 데이터가 코딩과정에 들어오기 전에 데이터는 부호가 있는 정수이다.
  • 이 부호가 있는 정수는 엔트로피 코딩과정을 거치기전 부호-크기 표현으로(sign-maganitude representation) 바뀐후 엔트로피 과정을 거치게 된다. DC level shift
  • 엔트로피 코딩 과정을 거치기 위해 각각의 subband들은 더 작은 블록(code-block)으로 나누어지게되며 code-block별로 엔트로피 코딩과정을 거치게된다.
  • Code-block은 bit-plane coding과정 을 거쳐 압축된다. Jpeg-2000 은 비트플레인코딩을 위해 EBCOT binary arithmetic coding (Embedded block coding with optimized truncation) 알고리즘을 채택. Code-block은 bit-plane들로 분해되고 각각의 비트 플레이는 EBCOT를 거쳐 콘텍스트(context)와 이진 결정값(binary decision value)을 얻는다. 컨텍스트들과 이진 결정 값들은 변종 이진 산술 코딩이 입력이 되어 압축된 코드를 얻는다.

Decoding

Inverse quantization

Image

Inverse transform

lifting-based operations

Image

The inverse irreversible componet transform

Image

Compression images

Image

  • C=25,52,75,105

MUST Creative Engineering Laboratory

ImageImage Image Image

Image Image Image Image Image Image Image

Copyright © 2010 MUST Corp. All rights reserved. must@must.or.kr
This Program is released under the GNU General Public License v2. View the GNU General Public License v2 or visit the GNU website.