Welcome Guest, you are in: Login

MUST Creative Engineering Laboratory

RSS RSS

Navigation



Technical Doc



Search the wiki
»

MUST Corp.

MUST Corp.

www.must.or.kr

 Microsoft CERTIFIED Partner Software Development, Web Development, Data Platform

 Microsoft Small Business Specialist

MCSD

Microsoft Certified IT Professional

Microsoft Certified Professional Developer

Transverse Mercator on the ellipsoid (TME)

RSS
Modified on 2010/10/04 18:02 by Administrator Categorized as mMap, MWSF
Document : The MERCATOR projections,PETER OSBORNE, EDINBURGH, 2008

Radfearn's transformation formulae

TME(Transverse Mercator on the ellipsoid) is derived as a series by a complex transformation from the NME(Normal Mercator on the ellipsoid) projection.

Image

Direct

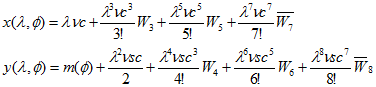
The direct series for x and y

Image

Image

Inverse

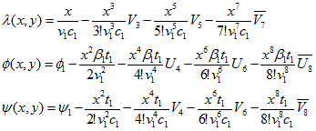
The inverse series for Image and Image

Image

Image

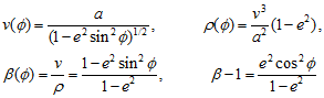
where

Image

Condition

1. Image

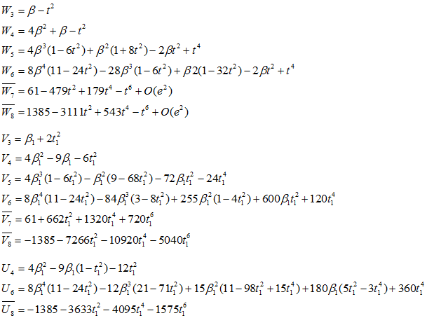
where the coefficients are given by

Image

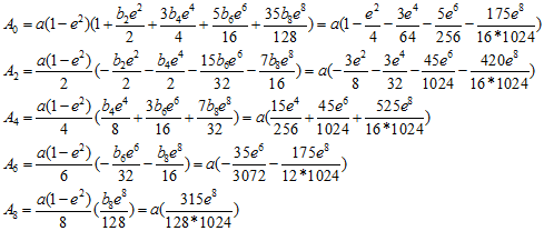
If we use the numerical values for the Airy ellipsoid, then , in meteres,

Image

2. Function Image and Image are defined in

Image

3. Imageis measured on radians from central meridian

4. The subscripted terms in the inverse series are to be evaluated at the footpoint latitude Image such that Image

Document


MUST Creative Engineering Laboratory

ImageImage Image Image

Image Image Image Image Image Image Image

Copyright © 2010 MUST Corp. All rights reserved. must@must.or.kr
This Program is released under the GNU General Public License v2. View the GNU General Public License v2 or visit the GNU website.