Welcome Guest, you are in: Login

MUST Creative Engineering Laboratory

RSS RSS

Navigation



Technical Doc



Search the wiki
»

MUST Corp.

MUST Corp.

www.must.or.kr

 Microsoft CERTIFIED Partner Software Development, Web Development, Data Platform

 Microsoft Small Business Specialist

MCSD

Microsoft Certified IT Professional

Microsoft Certified Professional Developer

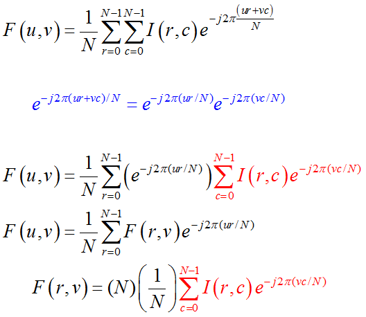
Fourier Transform Properties - Separability

Image

Fourier Transform Properties - Convolution

Image

Fourier Transform Properties - Translation

Image
Translation property results in a phase shift of the spectrum. (a) Original image. (b) The magnitude of the Fourier spectrum from (a) represented as an image. (c) The phase of the Fourier spectrum from (a) represented by an image. (d) and (g) are original image shifted by 128 rows and 128 columns, and 64 rows and 64 columns, respectively. (e), (h) The magnitude spectrum. (f), (i) Phase spectrum. These images illustrate that when an image is translated, the phase changes, even though magnitude remains the same.

Fourier Transform Properties - Rotation

Image
Translation property results in corresponding rotations with image and spectrum. (a) Original image. (b)  Fourier spectrum image of original image. (c) Original image rotated by 90 degrees. (d) Fourier spectrum image of rotated

Fourier Transform Properties – Periodicity

Image

Image

Periodicity and implied symmetry for the Fourier transform. (a) Implied symmetry with origin in upper-left corner. Each NxN block represented all the transform coefficients, and is repeated infinitely in all directions. (b) Increasing frequency in direction of arrows. (c) Periodic spectrum, with quadrants labeled A, B, C, and D. (d) Spectrum shifted to center. Frequency increases in all directions as we move away from the

Image

Image

Directing mapping of Fourier magnitude data. (a) Original image. (b) The Fourier magnitude directly remapped to 0-255 without any enhancement. (c)-(e) Contrast enhanced versions of (b).

Image

Discrete Fourier Transform Program Coding

1. input image : own created image with proper size

2. program code must be your own

3. Discuss result

□ image -> DFT -> log scale transform -> Display

left : original input image middle : normal display of FFT transform right image : log display of FFT transform

Image

■ created image : 512×512 image

Image

■ created image : 1024×1024 image

Code

	for (int y = 0; y < height; y++)
	{
		for (int x = 0; x < width; x++)
		{
			minMagnitude = Math.Min(minMagnitude, data[y,x].Magnitude);
			maxMagnitude = Math.Max(maxMagnitude, data[y,x].Magnitude);
			minLog = Math.Min(minLog, Math.Log(data[y, x].Magnitude));
			maxLog = Math.Max(maxLog, Math.Log(data[y, x].Magnitude));
		}
	}

	// do the job
	unsafe
	{
		byte* dst = (byte*)dstData.Scan0.ToPointer();

		for (int y = 0; y < height; y++)
		{
			for (int x = 0; x < width; x++, dst++)
			{
				if (logTransform)
					*dst = (byte)System.Math.Max(0, System.Math.Min(255, (Math.Log(data[y, x].Magnitude) - minLog) * 255 / (maxLog - minLog)));
				else
					*dst = (byte)System.Math.Max(0, System.Math.Min(255, data[y, x].Magnitude * scale * 255));
			}
			dst += offset;
		}
	}


MUST Creative Engineering Laboratory

ImageImage Image Image

Image Image Image Image Image Image Image

Copyright © 2010 MUST Corp. All rights reserved. must@must.or.kr
This Program is released under the GNU General Public License v2. View the GNU General Public License v2 or visit the GNU website.