Welcome
Guest
, you are in:
<root>
•
Login
MUST Creative Engineering Laboratory
Navigation
Main Page
All Pages
Categories
Random Page
Navigation Paths
Technical Doc
바로씨(BaorSee)
고고피알
Inply
MWSF
MWSM
MWTC
MWMC
MWPC
mQR
mMap
mGPIN
mSiren
mNotice
μSearch
MUST Ucc
Create a new Page
File Management
Administration
Create Account
Search the wiki
»
MUST Corp.
www.must.or.kr
Discuss (0)
History
Edge Detector
Print
RSS
Modified on 2011/03/18 16:39
by
Administrator
Categorized as
Digital Image Processing
Laplacian of Gaussian (LoG)
Laplacian of Gaussian (LoG)
(4)
»
jQuery 1.4.2 updated
»
JPSearch (Image Retrieval)
»
Edge Detector
[X]
»
ASCII
»
jQuery 1.4.2 updated
»
JPSearch (Image Retrieval)
»
Edge Detector
Edge
Points where a large change in image brightness over a short spatial distance occurred
is defined by a discontinuity in gray-level values
Roberts Operator
It is the simplest of the edge detection operators and will work best with binary images.
Sobel Operator
Prewitt Operator
Derivative operator
Zero-crossing
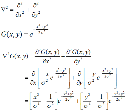
Laplacian Gaussian
Laplacian of Gaussian (LoG)
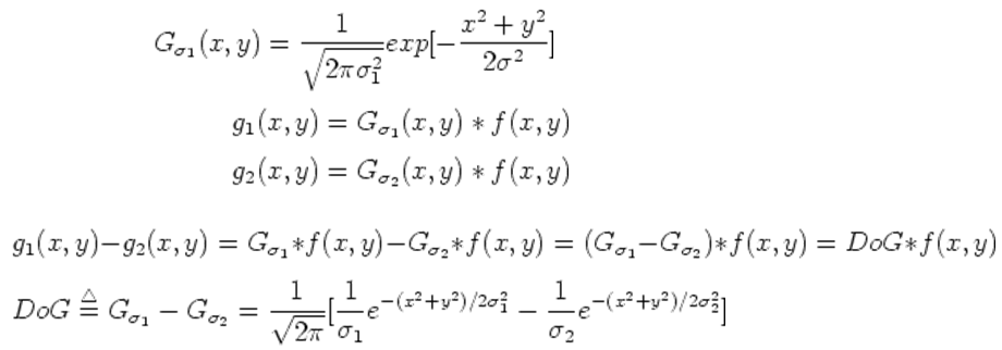
Difference Of two Gaussian : DOG
Edge Detector
Edge Detector - Noise
(a) Original image. (b) Image with added noise. (c) Sobel with a 3x3 mask. (d) Sobel with a 7x7 mask. (e) Prewitt with a 3x3 mask. (f) Prewitt with a 7x7 mask. (g) Result from applying a threshold to the 3x3 Prewitt. (h) Result from applying a threshold to the 7x7 Prewitt. (i) Truncated pyramid with a 7x7 mask. (j) Results from applying a threshold to the 7x7 truncated pyramid.
MUST Creative Engineering Laboratory
Copyright © 2010 MUST Corp. All rights reserved.
must@must.or.kr
This Program is released under the GNU General Public License v2.
View the GNU General Public License v2
or visit the
GNU
website.