Document : The MERCATOR projections,PETER OSBORNE, EDINBURGH, 2008
Radfearn's transformation formulae
TME(Transverse Mercator on the ellipsoid) is derived as a series by a complex transformation from the NME(Normal Mercator on the ellipsoid) projection.

Direct
The direct series for x and y


Inverse
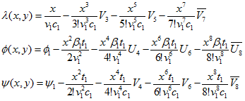
The inverse series for

and



where

Condition
1.

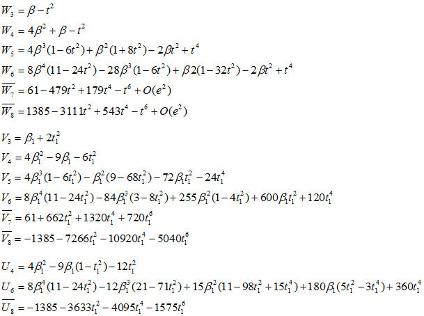
where the coefficients are given by

If we use the numerical values for the Airy ellipsoid, then , in meteres,

2. Function

and

are defined in

3.

is measured on radians from central meridian
4. The subscripted terms in the inverse series are to be evaluated at the footpoint latitude

such that

Document