Welcome Guest, you are in: Login

MUST Creative Engineering Laboratory

RSS RSS

Navigation



Technical Doc



Search the wiki
»

MUST Corp.

MUST Corp.

www.must.or.kr

 Microsoft CERTIFIED Partner Software Development, Web Development, Data Platform

 Microsoft Small Business Specialist

MCSD

Microsoft Certified IT Professional

Microsoft Certified Professional Developer

Edge

  • Points where a large change in image brightness over a short spatial distance occurred
  • is defined by a discontinuity in gray-level values

Roberts Operator

Image

  • It is the simplest of the edge detection operators and will work best with binary images.

Sobel Operator

Image

Prewitt Operator

Image

Derivative operator

Image

Zero-crossing

Image

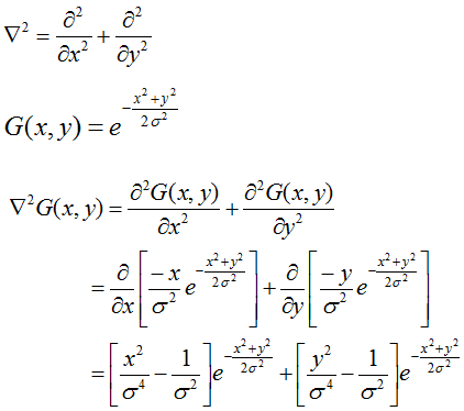
Laplacian Gaussian

Laplacian of Gaussian (LoG)

Image

Image

Image

Image

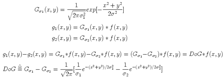
Difference Of two Gaussian : DOG

Image

Image

Image

Edge Detector

Image

Edge Detector - Noise

Image

(a) Original image. (b) Image with added noise. (c) Sobel with a 3x3 mask. (d) Sobel with a 7x7 mask. (e) Prewitt with a 3x3 mask. (f) Prewitt with a 7x7 mask. (g) Result from applying a threshold to the 3x3 Prewitt. (h) Result from applying a threshold to the 7x7 Prewitt. (i) Truncated pyramid with a 7x7 mask. (j) Results from applying a threshold to the 7x7 truncated pyramid.


MUST Creative Engineering Laboratory

ImageImage Image Image

Image Image Image Image Image Image Image

Copyright © 2010 MUST Corp. All rights reserved. must@must.or.kr
This Program is released under the GNU General Public License v2. View the GNU General Public License v2 or visit the GNU website.